There is No Plan. They're Just Morons.
Trump doesn't have complex trade theories. He's just an idiot.
On April 2nd, Donald Trump declared ‘Liberation Day’, and America liberated itself from economic growth and leadership of the free world.
The Trump administration announced massive new tariffs on nearly every country in the world, completely upending the global trade order. And they did it ways that are, frankly, almost too stupid to believe.
We don’t often get into detailed policy analysis here. It’s not really the purpose of Infinite Scroll, and there are plenty of other places you can go to read about policy. But after all the insane things Trump’s team has done, after all the abject stupidity, cruelty and chaos we’ve seen in the last two months, I guess this is what broke me. I’ve reached levels of Angry Resistance Posting previously thought impossible. So now we’re gonna have a blog post to talk about the god damn tariffs.
I cannot emphasize enough to you how unfathomably stupid this all is. Economists don’t always agree on policy. But virtually all economists - left, right and everything in-between - agree that tariffs are bad policy that make all parties worse off. Here’s a survey showing 95% of economists think tariffs reduce economic welfare. Here’s another where 95% of economists say that consumers bear the burden of tariffs through increased prices. In that poll, the single economist who disagreed appeared to have misread the question. I could list dozens of these for you, but here’s one more:
It’s not just economists. Virtually everyone in corporate America is panicking right now. The stock market has fallen off of a cliff. Odds of a recession on Polymarket are skyrocketing.
Everyone is freaking out because the scale of Trump’s new tariffs is staggering:
That red arrow that’s pointing at the little bump is the impact of Trump’s first term tariffs. The tariffs announced in Trump’s second term are at least ten times larger, maybe more. They’re larger than the Smoot-Hawley tariffs which are widely blamed for worsening the Great Depression. We are tariffing countries at levels literally never seen before in American history. Some countries are getting hit with 40%, 50% or higher.
These tariffs are going to drive inflation higher, make your cost of living more expensive, halt economic growth, and kill small businesses. They’re by far the largest middle-class tax increase in American history. And they won’t even have the supposed effect of reviving American manufacturing. America’s manufacturing sector is about to get *decimated*. You know what manufacturing needs? Inputs. Raw materials and parts. You know where we get inputs from? OTHER COUNTRIES. Half of all the imports in the United States last year were inputs used to make other products. You're going to see manufacturing businesses dying left and right over the next year. It’s going to be catastrophic.
America is about to commit economic seppuku, and you have to wonder why. Why would they do this? What purpose does it serve?
I regret to tell you that there is no grand plan. There’s not even a proper conspiracy. It’s happening because Trump is an idiot and has filled his administration with fellow idiots and yes men. They’re just dumb fucking people, careless people, people who reject the notion of expertise as a liberal conspiracy, who don’t understand how the world works, and who don’t care when they break things.
It sounds more like an insult than an observation to point out how deeply stupid MAGA’s economic policies are. But this is more than a dunk - it’s an important point to understand if you want to truly get what’s happening, however obvious it may seem.
“But wait!”, you may protest. How do we know they’re just dumb? What if they have some Sooper Secrit plan to, you know, make America great again? Perhaps we disagree, but they must have some grand theory behind their actions?
This is what a specific type of MAGA-adjacent commentators would have you believe. According to these reality denialists, Trump is playing a longer game. He’s got complicated theories. He wants to restructure the world’s monetary system. His administration has a plan, it’s actually all very coherent if you just consult this obscure essay by some guy.
This is stupid. I can tell you exactly what Trump thinks about trade, and I don’t have to reference any papers from the Journal of Economic Idiocy.
If America has a trade deficit with some other country, that country is by definition cheating us and ripping us off.
Therefore we should institute massive tariffs to stop from getting ripped off.
That’s it. That’s the entire thing. There is no third bullet point. Any attempt to explain Trump’s thought process with more complicated geopolitical or economic models is an exercise in stupidity or dishonesty.
Trump has been parroting the exact same talking points since the 1980s, long before he was in politics. The man is as deep as a puddle. He is, sincerely, just a very stupid guy who thinks that when we buy vanilla beans from Madagascar - which grows 80% of the world’s vanilla supply - they are by definition ‘ripping us off’. It’s only ‘fair’ if they buy back an equivalent amount of Boeing jets, which they can’t do because they’re a desperately poor third-world country. This is a moronic thing to believe, much in the same way that it would be moronic if I said my barber is cheating me because I buy haircuts from him but he doesn’t buy blog posts in return from me. It would be stupid to cry about my ‘trade deficit’ with my barber. But Trump sincerely believes it. He does not have complicated theories about Bretton Woods or monetary theory or the international trade system rebalancing. He simply thinks trade deficit = cheating, by default. That’s why poor little Madagascar has been hit with a new 47% tariff rate. Trump is just an idiot and has surrounded himself with flunkies happy to carry out his idiotic plans.
If you’re still not convinced, we’ve actually got something approaching a mathematical proof that this is how the Trump team thinks. Consult the chart again:
Trump’s team claims that they are only doing ‘reciprocal tariffs’ - if China is charging us 67%, we’ll do half of that at 34%. If South Korea charges us 50% tariffs, we’ll increase ours to 25%. Seems fair!
The problem is that those numbers are entirely fucking made up. South Korea does not charge America a 50% tariff rate. The true rate is somewhere between 1-3% overall, depending on which goods and which method of accounting you use. The numbers in this chart are fake. But Team MAGA didn’t just make them up entirely.
Thanks to some enterprising folks on EconTwitter, we found out that the ‘tariff rate’ the Trump administration was claiming for each country was literally just the trade deficit divided by our imports from that country.1 Quoting James Surowiecki:
So we have a $17.9 billion trade deficit with Indonesia. Our imports from Indonesia are $28 billion. $17.9/$28 = 64%, which Trump claims is the tariff rate Indonesia charges us. What extraordinary nonsense this is.
Notice what’s happening here? The Trump team is claiming that literally any deficit must be some sort of cheating or unfair practice, and thus by default counts as a ‘tariff rate’. Deficit/imports= tariff. I worry it won’t translate to non-economists how breath-takingly stupid this is, so imagine you’re baking a cake and in order to figure out how long to bake it, you divided the volume of the cake by the volume of your oven. It would be like trying to figure out your current age by diving the last four digits of your social security number into your birthday. It doesn’t even rise to the level of being wrong. And somehow, things get even stupider.
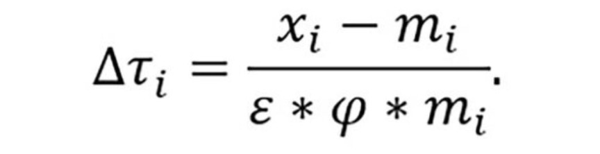
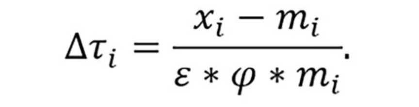
The White House fired back, denying that they did anything like that. They claimed they were using actual tariff rates from other countries, calculated by this equation:
Let me do some notation for you, if you’re not used to seeing fancy Greek letters:
(Exports - Imports) on top is the trade deficit. The first two symbols on the bottom are elasticities, and you don’t have to worry about them except to know that they’re set at 4 and 0.25 and thus cancel out. So what you’re left with is tariff = deficit/imports. To summarize: the Trump team denied what the economists were saying, then posted a formula that exactly proved what the economists were saying.
And somehow, it gets even stupider from there.
Several prominent online posters had the thought to ask ChatGPT what its tariff policy would be. Would it surprise you to learn that ChatGPT spit out the same idiotic formula that the Trump administration used? It was then confirmed over and over for each AI - ChatGPT, Claude, Grok and Gemini all give the exact same answer involving “tariffs should equal deficits/imports”. It seems highly likely that our national tariff rates were set by some intern who asked ChatGPT how to set a tariff rate. This is where we’re at as a country.
And somehow, it gets even stupider.
Not content with Vibe Coding To Crash The Global Economy, the Trump administration also made sure they went after the real villains of international trade: penguins.
Trump’s list of new tariffs bizarrely included islands with no human population - like the Heard and McDonald Islands, which are a remote territory of Australia populated only by colonies of penguins. It appears that what they’ve done is go into the list of ISO country codes and just apply their simple formula to every entry without bothering to check which places are even countries. It’s how we ended up putting tariffs on the British Indian Ocean Territory, which has zero permanent residents outside of a US/UK joint military base. Yes, Trump just put a tariff on an active American military base.
In yesterday’s post about the book Careless People, I made the comparison between Mark Zuckerberg’s leadership of Facebook and the MAGA movement:
We now live in a world governed by careless people who can’t be bothered to understand when they break things and who view the impacts of their actions as annoying distractions
In the same way Facebook leadership genuinely didn’t care if their employees were jailed or if their social network contributed to ethnic killings, DOGE is running rampant through the federal government without really knowing or caring how they’re breaking government agencies. In the same way Facebook considered teen girls killing themselves because of social media an annoying side issue, the MAGA movement considers the economic destruction of tariffs an irrelevant distraction.
I’m so tired of all this. I hate it so much. Real people are going to have their lives destroyed. The economy isn’t just a series of numbers, it’s real people. People will lose their businesses, their jobs, their savings. Children will go hungry in America (and many other countries) because of this. We’re killing jobs and growth and markets in service of one delusional idiot’s resentment of foreign trade. And I hate even more the parade of sycophants who still try to dress it up as some sort of grand strategy. There’s nothing behind the curtain. The emperor has no clothes. He’s just a dumb idiot and you will keep being wrong about him until you incorporate this fact.
They’re also only counting physical goods, not services for some reason. Money is only real if you get it for selling a hunk of plastic, I guess.









You wrote this with exactly the vitriol the admin deserves. Especially in the call-out of Samuel Hammond, who should be laughed out of wonk circles for his pompous sanewashing of Trump's obvious buffoonery.
I think you’re right that the man himself has no plan. But the people around him? I think you’re wrong. It’s a really clear ideology. The “plan” is to restore a time when men worked in factories and supported families. (It won’t work, but plans in service of ideology usually don’t, on the left either — see “defund the police”.)
The Silicon Valley faction is belatedly realizing that their influence in the mad king’s court is low compared to the Vance wing of Catholic integrationalists / Dark Enlightenment / “based” 8chan males under 35 years old. Balaji (the Network State extreme libertarian guy) on Twitter was bemoaning that MAGA thinks they can turn the clock back to 1953 (or 1910) socially by twisting a knob called “tariffs” back to the value it had back then. But just like how IBM could set their prices to what they were in 1960, it wouldn’t restore their market dominance. US social fragmentation is driven by bigger factors than trade (see: the internet consuming all of everything socially, ie this blog).
But that’s it. They think they’re going to restore a time when women were in the kitchen and men were on an assembly line building B-24 Liberators or whatever. The “economics” are just window dressing, just like how science and theory was used as a fig leaf cover on the left when implementing extreme social justice policies for their real goal which is a sort of levelling or communism.
There’s tons more to say about horseshoe theory on this ideology. The left and the right both rightly are horrified as to what the American heartland has become in terms of social ties. But turning back clocks is hard. Doing it while half their party (the Tech Right) are trying to accelerate ever faster toward an AI takeover makes it even more bizarre when the Catholic-integrationalist wing of MAGA thinks they can do it.
(This post partly based on this great recent post from Henry Farrell here: https://www.programmablemutter.com/p/the-reactionary-right-is-not-a-monolith )